歡迎進入飛諾美網站!
24小時熱線電話:400-606-8099
色譜術語概念知多少?
更新時間:2025-10-25
點擊次數:32
在色譜分析領域,色譜柱如同精密儀器的 “心臟”,而塔板數、分離度、拖尾因子等參數則是評估其性能的核心指標。這些參數不僅直接決定實驗數據的準確性與可靠性,更影響分析結果的科學性與有效性。接下來,我們將從 “基礎原理→核心性能→分離效果→方法驗證” 的邏輯出發,重新認識這些關鍵參數。
色譜分離的基礎原理:從 “平衡” 到 “擴散”
要理解色譜柱的性能,首先需掌握分離過程中的核心原理——理論塔板模型與擴散現象,這是后續所有參數的邏輯起點。
1 理論塔板高度(H)
理論塔板模型是色譜分離的核心模型概念,指分析物在流動相和固定相之間完成一次分配平衡過程的假想區域(即分析物在該區域內實現流動相和固定相的一次平衡)。衡量理論塔板的關鍵指標是 “理論塔板高度(HETP,簡稱 H)”,代表每個理論塔板所需的色譜柱長度。H 值越低,單位長度色譜柱的理論塔板數越多,分離效率越高——這就像 “把任務拆分成更多小步驟,每步完成得越細致,整體效率越高”。

2 渦流擴散(又稱多徑效應)
渦流擴散是影響分離效率的 “負面因素”,指分子在色譜柱內垂直于流動方向的擴散,既包括顆粒間隙空間內的擴散,也涵蓋顆粒內部的橫向運動。若渦流擴散嚴重,不同分子會因運動路徑差異導致洗脫時間混亂,進而造成相鄰色譜峰重疊,直接影響定性(判斷物質種類)和定量(計算物質含量)分析的準確性。

3 縱向擴散(又稱分子擴散)
縱向擴散是分子沿色譜柱軸向(流動方向)的擴散,本質是分子熱運動的結果,與固定相粒徑無關,僅與流動相流動的平行表面相關。其影響程度與流動相線速度成反比:流速越高,分子在柱內停留時間越短,縱向擴散越弱(可忽略);流速過低則縱向擴散加劇,導致峰展寬、分離效率下降。實際實驗中,可通過調整流速平衡縱向擴散的影響。

分析系統核心性能:色譜柱柱效與靈敏度
在基礎原理之上,色譜柱柱效和靈敏度是直接衡量色譜柱 “分離能力” 與 “檢測能力” 的核心參數,決定了色譜柱能否高效、精準地分析樣品。
1色譜柱柱效(N)
色譜柱柱效(又稱理論塔板數 N)是衡量色譜峰尖銳度、反映分離有效性的關鍵指標。其核心邏輯是:峰越尖銳,說明分子洗脫越集中,分離效率越高。常用計算公式如下:通常,N為理論塔板數;a 是常數,具體取決于所用方法;tR為色譜峰保留時間,W為特定峰高處的峰寬。

應的常數值為5.54,使用半峰寬是為了避免基線處的干擾。
2靈敏度(Sensitivity)
靈敏度是色譜檢測系統(含色譜柱、檢測器、數據處理系統)的綜合性能指標,體現對低濃度樣品的響應能力,本質是 “色譜信號(峰面積、峰高)對樣品量的響應效率”。高靈敏度的價值在于:能在極微量分析物存在時產生顯著信號,實現痕量物質(如環境中微量污染物、藥品中微量雜質)的檢測,廣泛應用于環境監測、藥物殘留分析等領域。
靈敏度的衡量標準
靈敏度可通過 “信噪比(S/N)”“檢測限(LOD)”“定量限(LOQ)” 量化:
• 檢測限(Limit of Detection, LOD):指 “能可靠判斷有目標物質存在” 的最低濃度/量,常用基線噪聲水平的 3 倍計算(即 “能看出有東西” 的最低值);
• 定量限(Limit of Quantitation, LOQ):指 “能重復、準確計算目標物質含量” 的最低濃度,常用基線噪聲水平的 10 倍計算(需高于 LOD,避免低濃度下積分峰的結果波動)。除基線噪聲 10 倍外,也可定義為能滿足一定精密度要求(如 RSD ≤ 20%)的最低濃度。
分離效果的關鍵評估:分離度、峰谷比與峰形
當色譜柱具備基礎性能后,還需通過分離度、峰谷比、拖尾因子/峰不對稱性因子判斷 分離是否徹底以及峰形是否合格,這是確保分析結果可靠的一道防線。
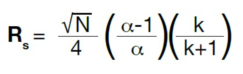
1分離度(R)
分離度是衡量相鄰兩峰在基線處分離程度的核心指標,同時關聯 “色譜柱柱效(N)” 和 “選擇性(分子與固定相的作用差異)”,是判斷分離是否成功的 “金標準”。

用 “跑道賽跑” 類比:色譜柱是跑道,不同分子是運動員,分離度就是 “判斷運動員是否徹底拉開距離沖線” 的指標 ——
• 若兩分子 “勾肩搭背” 一起沖線(色譜峰重疊),分離度小,說明 “未能有效分離”;
• 若兩分子前后腳拉開明顯距離(色譜峰完全分開),分離度大,說明 “分離效果良好”。
在影響分離度的因素中,選擇性的作用最大:通過改變固定相種類(如從 C18 柱換為苯基柱)調整分子與固定相的作用差異,能最大幅度提升分離度;而減小固定相粒徑僅能改善色譜柱柱效(N),對分離度的提升幅度有限。
2峰谷比
峰谷比是直觀判斷相鄰峰分離程度的 “輔助指標”,尤其適用于復雜樣品(如中藥成分、環境污染物)的分析,核心是通過 “峰高與谷深的比值” 反映目標峰與干擾峰的區分度。
峰谷比的計算方式為:目標峰的峰高(從基線到峰頂的垂直距離)與該峰和相鄰峰之間谷底的谷深(從基線到谷底的垂直距離)的比值(谷底需為兩峰間的最低點)。通常,若峰谷比<1.5,說明兩峰分離不完全;若<1,則峰重疊嚴重,需優化色譜條件(如調整流動相比例、柱溫),實際實驗中,峰谷比標準需結合分析目的調整(如常規分析≥1.5,雜質檢測等嚴格場景需≥2.0)。
3拖尾因子(Tf)與峰不對稱性因子(As)
峰形的對稱性直接影響定量分析準確性,拖尾因子和峰不對稱性因子是衡量峰形的兩個關鍵參數,前者側重 “整體對稱度”,后者側重 “細節偏離度”。
(1)拖尾因子(Tailing Factor, Tf)
拖尾因子是量化色譜峰對稱程度的核心指標,理想峰的拖尾因子為 1(完全對稱)。
計算方式:從峰頂點作垂直于基線的垂線,在峰高 5% 處作平行于基線的直線(避免基線噪音干擾),直線與峰兩邊的交點將其分為兩段(d1:垂線到峰前沿的水平距離;d2:垂線到峰后沿的水平距離),W0.05是 5% 峰高處的峰寬,即W0.05= d1+ d2。拖尾因子T= W0.05/2d1=(d1+d2)/2d1。

• 合格范圍:常規要求 0.95 ≤ Tf ≤ 1.05(部分標準放寬至 0.9-1.2);
在方法開發中,通常將拖尾因子控制在合理范圍內(如 0.95 - 1.05),以滿足分析方法的驗證要求。
(2)峰不對稱性因子
(Peak Asymmetry Factor, As)
峰不對稱性因子是對峰形偏離的 “細致補充”,與拖尾因子原理相通但計算角度不同:取峰高 10% 處峰后沿到垂線的水平距離(B)與峰前沿到垂線的水平距離(A)的比值。使用10% 峰高處的數值是為了避免基線干擾。

• 峰形判斷:As>1 為拖尾峰(峰后沿寬),As<1 為前延峰(峰前沿寬);
通過As可深入分析固定相與分析物的相互作用(如吸附差異),為優化分離條件提供細節依據。
方法驗證的核心:重復性、精密度與準確性
當色譜柱性能、分離效果合格后,需通過重復性、精密度以及準確性驗證分析方法的穩定性與可靠性,這是方法可推廣、數據可信的基礎。
重復性聚焦分析方法或分析系統性能穩定,通過多次進樣同一標準樣品,觀察保留時間、峰面積等參數波動:波動越小,重復性越好,能確保分析方法在不同批次、時間保持穩定分離,為數據可靠 “兜底”。
精密度是更全面的方法穩定性指標,衡量重復試驗數據的一致性,通過不同條件驗證數據精密度:同一設備、人員多次進樣,驗證進樣系統穩定;同天同實驗室同條件多次分析,驗證短時間方法穩定;同實驗室不同人員、設備、時間分析,驗證操作等差異影響;不同實驗室不同人員、設備分析,驗證方法跨實驗室可轉移。
準確性與精密度相輔相成,核心是分析結果與已知真實值的一致性(如標準品檢測中,測得濃度與真實濃度偏差越小越準確)。用 “打靶” 類比:精密度是 “子彈落點集中程度”,準確性是 “落點與靶心(真實值)距離”,優質方法需同時滿足高精密度和高準確性,既保證數據穩定,又貼合真實。

總結:參數聯動,優化分析結果
上述參數并非孤立存在,而是相互關聯、相互影響:
• 理論塔板高度(H)和色譜柱柱效(N)決定“分離效率基礎”;
• 靈敏度決定 “檢測低濃度物質的能力”;
• 分離度、峰谷比、拖尾因子/峰不對稱性因子確保 “分離徹底、峰形合格”;
• 重復性、精密度與準確性保障 “方法穩定、結果可靠”。
在實際實驗中,可通過調整流速(優化縱向擴散)、更換固定相(提升選擇性)、控制柱溫(改善峰形)等方式,聯動優化這些參數,最終提升分析結果的準確性與重復性。